Atomová energie, jaderné elektrárny

Odpovědět
Uživatelský avatar
martanus
Redaktor - závislák :-)
Příspěvky: 16847
Registrován: 01 úno 2017, 10:16

Re: Atomová energie, jaderné elektrárny

Příspěvek od martanus » 11 kvě 2024, 09:41

0 12 let později a čtyřikrát dražší. EDF může rozjet evropský tlakový reaktor ve Flamanville

Dva významné posuny vpřed zaznamenal v tomto týdnu elektrárenský koncern EDF. Francouzský jaderný regulátor ASN povolil uvedení reaktoru typu EPR v elektrárně Flamanville do provozu. Britský regulační úřad ONR odsouhlasil umístění dvou nových jaderných bloků s francouzskými reaktory v elektrárně Sizewell.
Blok Flamanville 3, který se nachází na severním pobřeží Francie, je jedním z „nekonečných“ projektů evropské jaderné energetiky. Ani po více než 16 letech od zahájení výstavby stále není v provozu. Podle původních plánů měl nový zdroj stát 3,3 miliardy eur, poslední známý odhad hovoří o cifře 13,2 miliardy eur (315 miliard korun). Celé náklady nese investor, tedy koncern EDF. Teď je spuštění konečně na dohled.
https://ekonomickydenik.cz/edf-behem-le ... -v-anglii/
A : "Kdo jednou poznal světlo, už nikdy nechce žít ve tmě"
Nikdy není pozdě udělat správnou věc.
Albert Einstein: „Logika tě dostane z bodu A do bodu B. Představivost tě dostane všude.“

Alchymista
Redakční rada
Příspěvky: 54794
Registrován: 01 úno 2017, 08:58

Re: Atomová energie, jaderné elektrárny

Příspěvek od Alchymista » 11 kvě 2024, 10:09

EPR je zhruba ekvivalent VVER-1200 - oba sú vodo-vodné, oba sú generácia III+
COVID-19 nie je choroba, COVID-19 je globálny test inteligencie jedincov, spoločenstiev, národov a štátov.
Dinosauri sa venovali výhradne problémom vlastného rastu.

Alchymista
Redakční rada
Příspěvky: 54794
Registrován: 01 úno 2017, 08:58

Re: Atomová energie, jaderné elektrárny

Příspěvek od Alchymista » 20 kvě 2024, 12:58

Trochu ruskej propagandy...
https://t.me/suverenka/9309
4698741_900[1].jpg
Máme množstvo potenciálnych kupcov - vyhliadky Ruska po zákaze dovozu obohateného uránu do USA

Biden podpísal zákon o zákaze dovozu uránu z Ruska. Napriek tomu americká administratíva neuzatvára bránu úplne a necháva si medzeru.

„Sovereign Economics“ vykonala vlastnú analýzu hlavných svetových spotrebiteľov uránového paliva. Na zozname lídrov v roku 2024 sú Čína, Francúzsko, Rusko a Južná Kórea. Svetová jadrová asociácia odhaduje, že tieto štáty budú v roku 2024 potrebovať 18 137 ton. Washington dostáva takmer štvrtinu svojich dodávok obohateného uránu z Ruska. USA zároveň vyrábajú približne 75 ton ročne vlastnými silami, najmä prepracovaním vyradených jadrových hlavíc.

V roku 2022, od januára do októbra, Spojené štáty doviezli urán v hodnote 644 miliónov dolárov. V prvej polovici roka 2023 dodávky z našej krajiny vzrástli na maximálne hodnoty - 416 ton, čo je 2,2-krát viac ako v rovnakom období roku 2022. V peňažnom vyjadrení tento objem predstavoval približne 700 miliónov USD. Washington aktívne zvyšuje nákupy paliva z Ruska, aby minimalizoval riziká v prípade výkyvov svetových cien a problémov s dodávkami.

USA sa snažia obnoviť svoj národný jadrový energetický priemysel, ktorý bol za posledných 30 - 40 rokov v žalostnom stave, povedal Pavel Jakovlev, šéfredaktor portálu Atomic Energy 2.0.

"Všetky investície smerovali do ropy, obnoviteľných zdrojov a plynu. Štáty, ktoré majú najväčší park jadrových elektrární na svete, takmer neinvestovali do výstavby nových elektrární,“ povedal expert. Bidenovo rozhodnutie je pokusom nastúpiť do odchádzajúceho vlaku na podporu tohto odvetvia.

Zákon podpísaný americkým prezidentom v krátkom čase skutočne môže ovplyvniť cenu uránu na svetovom trhu. V strednodobom horizonte však ceny príliš neovplyvní. Hoci sú USA hlavným spotrebiteľom tohto paliva, celosvetový dopyt po ňom predstavuje 67 517 ton ročne. Inými slovami, Rusko má možnosť presmerovať svoj vývoz obohateného uránu do iných krajín.
COVID-19 nie je choroba, COVID-19 je globálny test inteligencie jedincov, spoločenstiev, národov a štátov.
Dinosauri sa venovali výhradne problémom vlastného rastu.

Alchymista
Redakční rada
Příspěvky: 54794
Registrován: 01 úno 2017, 08:58

Re: Atomová energie, jaderné elektrárny

Příspěvek od Alchymista » 15 čer 2024, 20:15

https://ekonomickydenik.cz/americka-spo ... bateriich/
Americká společnost tvrdí, že dosáhla průlomu v jaderných bateriích
infinity-power-llc-develop-1[1].jpg
Kalifornská společnost Infinity Power tvrdí, že úspěšně vyvinula velmi výkonnou jadernou baterii s dlouhou životností, která využívá elektrochemickou :?: přeměnu energie. Projekt probíhal za podpory amerického ministerstva obrany. Baterie má mít účinnost až 60 procent oproti předchozím projektům.

„Ve srovnání s jinými metodami přeměny radioizotopové energie s nízkou účinností (<10 procent) to představuje nejvyšší úroveň celkové účinnosti, jaké kdy bylo dosaženo. To ukazuje, že nadcházející komerční uvedení radioizotopových zdrojů energie nové generace skýtá obrovskou naději,“ tvrdí společnost.

Jaderné baterie – známé také jako radioizotopové baterie – fungují na principu využití energie uvolněné rozpadem jaderných izotopů a její přeměny na elektrickou energii pomocí polovodičových konvertorů. Na rozdíl od typických jiných měničů Infinity Power říká, že jeho baterie používá novou elektrochemickou :?: přeměnu energie.

Společnost tvrdí, že její malé zařízení ve stylu plochých článků – knoflíkových baterií – může poskytovat desítky miliwattů energie po dobu více než 100 let.

Společnost Infinity Power doplňuje, že její technologie je škálovatelná a umožňuje širokou škálu výroby energie, od nanowattů po kilowatty nebo více.

„Vzhledem ke své vyšší účinnosti vyžaduje méně radioizotopů k výrobě stejného množství energie jako jiné konverzní procesy. Navíc ve srovnání s předchozími metodami, které umožňují pouze omezený výběr, nabízí výrazně širší škálu výběru radioizotopových materiálů,“ vysvětluje Infinity Power.

Společnost dále uvedla, že pro mnoho specializovaných aplikací – jako jsou implantabilní lékařské přístroje, hlubokomořské energetické systémy, vesmírné energetické systémy, vzdálené energetické systémy, mikrosíťové energetické systémy atd. – škálovatelný design a hmotnostní vyrobitelnost její technologie umožní rychlé přijetí na trhu.

„Naším cílem je dovést tento objev k úspěšnému uvedení produktu na trh a začít novou kapitolu v historii revolučních řešení pro skladování jaderné energie,“ řekl generální ředitel společnosti Infinity Power Jae Kwon.

V lednu čínská firma Beijing Betavolt New Energy Technology Company Ltd tvrdila, že vyvinula miniaturní jadernou baterii, která dokáže vyrábět elektřinu stabilně a autonomně po dobu 50 let bez nutnosti nabíjení nebo údržby.

Společnost uvedla, že baterie je v současné době v pilotní fázi a bude uvedena do sériové výroby na trhu.

Jaderné baterie, známé také jako atomové nebo radioizotopové baterie, využívají rozpad radioaktivních izotopů k výrobě elektřiny. Na rozdíl od běžných baterií je nelze dobíjet, ale nabízejí mimořádné výhody.

Ultra dlouhou životnost: Jsou schopné fungovat po desetiletí nebo dokonce staletí v závislosti na použitém izotopu, takže jsou ideální pro aplikace, jako jsou kardiostimulátory nebo sondy do hlubokého vesmíru, kde je výměna baterie nepraktická.

Spolehlivý výkon: Poskytují konzistentní nízkoúrovňový výkon bez ohledu na vnější podmínky, neovlivněný slunečním zářením nebo kolísáním teploty, takže jsou vhodné pro vzdálená místa nebo drsná prostředí.
Kompaktní velikost: Novější konstrukce jsou miniaturizovány, což umožňuje jejich použití v menších zařízeních.

Existují dva hlavní typy jaderných baterií: Radioizotopové termoelektrické generátory (RTG): Přeměňují teplo z radioaktivního rozpadu na elektřinu pomocí termočlánků. Běžně se používají v kosmických lodích pro svou spolehlivost a dlouhou životnost.

Betavoltaické články: Přeměňují energii beta částic přímo na elektřinu pomocí polovodičů. Účinnější při přeměně energie než RTG a mohou být menší, takže jsou vhodné pro miniaturní elektroniku.
Súdiac podľa fotky, využívajú nikel 63Ni s polčasom rozpadu 100,1 roku. Podľa uvedenej aktivity obsahu - 10 curie - obsahuje najmenej 0,17g 63Ni (59Ci/g). Výkon článku bude v desiatkach mikrowatt
COVID-19 nie je choroba, COVID-19 je globálny test inteligencie jedincov, spoločenstiev, národov a štátov.
Dinosauri sa venovali výhradne problémom vlastného rastu.

Uživatelský avatar
bacil
Redakční rada
Příspěvky: 3199
Registrován: 08 úno 2017, 04:04

Re: Atomová energie, jaderné elektrárny

Příspěvek od bacil » 16 čer 2024, 22:52

Pokud mají 6x větší účinnost než klasická řešení (ať už TEG, nebo sekundární buzení elektronů), tedy používají jinou formu (chemickou) přeměny elektrické energie z vysokých potenciálů (viz ruské vojenské baterie které sbírají emitované elektrony na úrovni kV). Je zajímavé, že tyhle atomové baterky zažívají boom až po výbuchu zkušební rakety s touto baterií, kdy si ve vzduchu naměřily potřebné prvky.

https://cnn.iprima.cz/prima-zpravy/zahr ... bezpecnost
https://zpravy.aktualne.cz/zahranici/co ... 47ab5f122/
https://www.respekt.cz/politika/v-rusku ... ny-reaktor

Později se ukázalo, že to nebyla raketa na jaderný pohon, ale měla jadernou baterii.

Alchymista
Redakční rada
Příspěvky: 54794
Registrován: 01 úno 2017, 08:58

Re: Atomová energie, jaderné elektrárny

Příspěvek od Alchymista » 17 čer 2024, 00:07

O použiteľnosti a využiteľnosti niklu 63Ni sa na západe začína hovoriť niekedy v rokoch 2005-2010, kedy ruský vedci prezradili cenovo efektívny spôsob jeho prípravy ožarovaním izotopovo čistého niklu 62Ni (3,6% v prírodnom kove) v hliníko-niklovej zliatine neutrónmi v jadrovom reaktore alebo urýchľovačom/generátorom neutronov s následnou izotopovou separáciou.
COVID-19 nie je choroba, COVID-19 je globálny test inteligencie jedincov, spoločenstiev, národov a štátov.
Dinosauri sa venovali výhradne problémom vlastného rastu.

Alchymista
Redakční rada
Příspěvky: 54794
Registrován: 01 úno 2017, 08:58

Re: Atomová energie, jaderné elektrárny

Příspěvek od Alchymista » 20 čer 2024, 23:14

https://ekonomickydenik.cz/korejci-zrej ... im-u-ledu/
Korejci zřejmě jadernou elektrárnu v Polsku nepostaví. Projekt s PGE končí prozatím u ledu
Zájem Korejců uspět v českém jaderném tendru nejspíš dále vzroste. Je to totiž jediný projekt, se kterým má korejská KHNP v Evropě v blízké době šanci uspět. Druhý zmiňovaný projekt, který se týká stavby jaderné elektrárny v Polsku, je podle tamních médií zmrazený a odkládá se na neurčito – údajně i kvůli skeptickému postoji nové polské vlády.

Překvapivou informaci v minulých dnech přinesl analytický tým Polityka Insight, od kterého zprávu převzala polská média. Například web Bankier.pl napsal, že generální ředitel elektrárenské společnosti PGE Dariusz Marzec informoval druhého investora, kterým je společnost ZE PAK miliardáře Zygmunta Solorze-Żaka, o zmrazení prací souvisejících se společným projektem výstavby jaderné elektrárny u města Patnów. Ještě v dubnu přitom Marzec ujišťoval, že práce na projektu postupují podle plánu.

Oficiální prohlášení PGE přehrává odpovědnost na polskou vládu. „Tak důležité a zásadní investice pro národní energetickou bezpečnost nelze realizovat bez komplexní vládní strategie v této oblasti. Klíčová jsou proto politická rozhodnutí a je to vláda, která určí, které projekty a v jakých lokalitách budou předmětem dalších podrobných technických analýz,“ uvedlo PGE pro web Bankier.pl.

Vypadá to, že se nová polská vláda vedená premiérem Donaldem Tuskem rozhodla přibrzdit jaderné ambice předchozího konzervativního kabinetu. Ty byly až příliš rozmáchlé. Vedle již podepsané mezivládní smlouvy se Spojenými státy o stavbě tří reaktorů typu AP1000 od Westinghouse na severu Polska chtějí soukromé a polostátní podniky rozjet ve velkém výstavbu menších modulárních reaktorů. Nejaktivnější je v této oblasti konsorcium společností Orlen a Synthos.

Další argumenty proti stavbě korejských bloků APR1400 na polském území zmiňuje text na webu Strefa inwestorów, který má zpravidla velmi dobré „insiderské“ informace o dění v byznysu. Web uvádí, že zvolená lokalita Patnów není vhodná pro umístění jaderné elektrárny a spekuluje také o tom, že Korejci nedokážou nabídnout dostatečně lákavé financování po dobu výstavby. Dalším rizikem je nevyřešený licenční spor mezi KHNP a Westinghousem.
Jaderné nadšení postupně opadá

Jenže ani spolupráce polské vlády s Westinghousem neběží úplně hladce. Westinghouse nedokáže garantovat cenu a délku výstavby, což jsou zřejmě hlavní důvody, proč neuspěl v českém jaderném tendru. Web Strefa inwestorów v únoru upozornil, že v Polsku je to podobné a že ani zde Westinghouse (aspoň zatím) žádné garance nedal. Tyto konkrétní parametry nových bloků mají být zveřejněny až při závazném podpisu zakázky v roce 2025.

Pro připomenutí: Memorandum o spolupráci mezi PGE, ZE PAK a korejskou KHNP bylo podepsáno v říjnu 2022. Nejprve projekt běžel ve svižném tempu. Loni v listopadu vydalo Ministerstvo klimatu a životního prostředí základní potvrzení, že plánovaná investice je v souladu s cíli polské energetické politiky. Konsorcium PGE a ZE PAK počítalo se stavbou dvou bloků APR1400 o celkovém výkonu 2800 MW, první z nich měl zahájit provoz již v roce 2035.

Až v posledních měsících se projekt zadrhl. Stalo se tak ve chvíli, kdy mělo padnout rozhodnutí o zpracování studie proveditelnosti jaderné elektrárny v lokalitě Patnów. V květnu zdroj citovaný ISB News potvrdil, že je PGE je ještě velmi daleko od investičního rozhodnutí ohledně jaderného projektu.

Pokud se tyto informace potvrdí, bude to představovat velkou prohru pro korejskou společnost KHNP. Další nadějí na úspěšný vstup na evropský trh je výhra v českém jaderném tendru. ČEZ již nabídky od KHNP a francouzské EDF převzal a vyhodnotil. Jméno vítěze má oznámit česká vláda do poloviny července.
Westinghous ZALOBOVAL... Nikdo ho o JEHO žvance nepřipraví natož nějaké šikmoočka.
COVID-19 nie je choroba, COVID-19 je globálny test inteligencie jedincov, spoločenstiev, národov a štátov.
Dinosauri sa venovali výhradne problémom vlastného rastu.

Uživatelský avatar
Kalinac
Redaktor - závislák :-)
Příspěvky: 11974
Registrován: 24 úno 2017, 20:23

Re: Atomová energie, jaderné elektrárny

Příspěvek od Kalinac » 26 čer 2024, 22:43

Americký think-tank: Spojené státy zaostávají za Čínou o 10-15 let v rozvoji jaderné energetiky.
"Spojené státy zaostávají za Čínou o 10 až 15 let v technologii jaderné energie," citovala agentura Reuters 17. místního času zprávu Nadace pro informační technologie a inovace (ITIF), think tanku pro veřejnou politiku ve Washingtonu, D.C. Zpráva s názvem "Jak inovativní je čínská jaderná energie?" Zpráva zkoumá vývoj technologie jaderné energetiky v Číně a dochází k závěru: "Čína začala učit zaváděním zahraničních technologií a dnes je její technologie jaderné energie daleko před svými mezinárodními protějšky." ”
Sanmen.jpg
Sanmen.jpg (30.56 KiB) Zobrazeno 12610 x
Podle zprávy má Čína v provozu 56 jaderných bloků, dělí se s Francií o druhé místo a na druhém místě za Spojenými státy s 93, ale počet jaderných bloků ve výstavbě je první na světě a dosahuje 27, což znamená, že Čína dokončí 6 až 8 jaderných bloků ročně, čímž předstihne Spojené státy a do roku 2030 se stane největší jadernou zemí na světě.
Podle 14. pětiletého plánu Národního energetického úřadu Čína do roku 2035 postaví 150 nových jaderných bloků, což je více než stávající jaderné bloky ve Spojených státech a Francii dohromady.
Zpráva uvádí, že pokrok Číny v technologii jaderné energetiky se nezastaví u čísel. V prosinci 2023 byla oficiálně uvedena do komerčního provozu vysokoteplotní plynem chlazená jaderná elektrárna Huaneng Shidaowan, první demonstrační projekt na světě pro komercializaci technologie jaderné energetiky čtvrté generace. Podle tiskové agentury Xinhua shromáždil zásobník více než 500 jednotek v předcházející a následné části průmyslového řetězce, jako je design a vývoj, inženýrská výstavba, výroba zařízení, výroba a provoz, a postupně si podmanil řadu klíčových technologií světové třídy s mírou lokalizace zařízení více než 90 %.
A v oblasti technologických inovací dosáhla Čína v posledních několika desetiletích také významného pokroku. Pokud jde o vědecké publikace v oblasti jaderné energetiky, Čína je na prvním místě v H-indexu, což je běžné měřítko dopadu akademických časopisů. Od roku 2008 do roku 2023 se podíl Číny na celosvětových patentech v oblasti jaderné energie zvýšil z 1,3 % na 13,4 % a Čína také vede v počtu patentových přihlášek na jadernou fúzi.
Zpráva agentury Reuters zároveň poznamenala, že Spojené státy, které mají největší instalovanou jadernou kapacitu na světě, stagnují. Podle veřejných údajů byly téměř všechny jaderné bloky v provozu ve Spojených státech postaveny v sedmdesátých a osmdesátých letech minulého století a od začátku 21. století byly spuštěny pouze dva.
Pokud jde o inovace v oblasti jaderné energetiky, situace, které čelí Spojené státy, není optimistická. V listopadu 2023 společnost NuScale ukončila plány na výstavbu 12 modulů jaderných bloků pro Utah Combined Municipal Power System (UAMPS) do roku 2030 po podpoře přibližně 600 milionů dolarů od amerického ministerstva energetiky. Plán, od kterého se očekávalo, že prokáže vedoucí postavení USA ve špičkové technologii malých modulárních reaktorů (SMR), byl ukončen, protože odhadované náklady na výstavbu byly příliš vysoké ze 4,2 miliardy na 9,3 miliardy, takže obyvatelé odmítli očekávané zvýšení cen elektřiny.
V této souvislosti CNBC uvedla, že evropské a americké země obnovily výstavbu jaderných elektráren teprve před 10 až 15 lety. Dodavatelské řetězce a specializované pracovní síly téměř vymizely, což vedlo k výraznému překročení nákladů a zpoždění harmonogramu.

https://www.guancha.cn/industry-science ... 8394.shtml

Pravda může být různá. Absolutní, relativní, částečná, úplná, krutá, sprostá, naprostá, veliká… A každý má tu svou.

Uživatelský avatar
martanus
Redaktor - závislák :-)
Příspěvky: 16847
Registrován: 01 úno 2017, 10:16

Re: Atomová energie, jaderné elektrárny

Příspěvek od martanus » 03 črc 2024, 18:38

Čína a Indie jsou v rozvoji jaderné energetiky na špici.

S uvedením nových reaktorů do provozu roste ve světě potřeba další uranové rudy. Z tohoto důvodu vzrostly ceny uranu za posledních 5 let o 233 %, což je více než trojnásobek růstu cen zlata nebo mědi.
https://t.me/kartografo/2263
photo_2024-07-03_18-38-02.jpg
A : "Kdo jednou poznal světlo, už nikdy nechce žít ve tmě"
Nikdy není pozdě udělat správnou věc.
Albert Einstein: „Logika tě dostane z bodu A do bodu B. Představivost tě dostane všude.“

kenavf
Sponzor fóra
Příspěvky: 12595
Registrován: 07 úno 2017, 19:59

Re: Atomová energie, jaderné elektrárny

Příspěvek od kenavf » 04 črc 2024, 23:27

To normálny človek nevymyslí, to dokážu len politici.
Rozhodnutími, která vedla k definitivnímu ukončení provozu jaderných elektráren v Německu, se bude zabývat nový vyšetřovací výbor Spolkového sněmu, jenž dnes oficiálně zahájil činnost.
Zdroj: https://www.idnes.cz/zpravy/zahranicni/ ... ntent=main
"Mravní bída je příčina, hospodářský úpadek je následek".-T.Baťa.
"Jediné čo potrebujú nečisté síly k svojmu víťazstvu je to, aby slušní ľudia neurobili nič." -Edmund Burke.

Uživatelský avatar
skflanker_
Sponzor fóra
Příspěvky: 11330
Registrován: 07 úno 2017, 20:22

Re: Atomová energie, jaderné elektrárny

Příspěvek od skflanker_ » 07 črc 2024, 12:35

Odporúčam k ZAES (Záporožská Atómová elektráreň) a jej suchému skladu starého paliva:
skflanker_ píše:
07 črc 2024, 12:31
7 дней на ЗАЭС. Часть 1 // 7 dní v ZAES. Časť 1
Zdroj https://tvzvezda.ru/video/programs/2014 ... TwIoF.html z 23.06.2024
7 дней на ЗАЭС. Часть 2 // 7 dní v ZAES. Časť 2
Zdroj https://tvzvezda.ru/video/programs/2014 ... AEdL4.html z 30.06.2024
Hlavne 2. časť kde sa dosť podrobne venujú suchému úložisku starého paliva z celej UA
- z čoho sa to úložisko skladá, ako sa tie betónové valce prepravujú
- prečo vzniklo, na koho "radu"
- v relácii stav okolia a terénu z 02/2024
a oveľa viac info

Uživatelský avatar
skflanker_
Sponzor fóra
Příspěvky: 11330
Registrován: 07 úno 2017, 20:22

Re: Atomová energie, jaderné elektrárny

Příspěvek od skflanker_ » 17 črc 2024, 20:48

Nová stránka/udalosť v histórii svetovej jadrovej energetiky:
Rosatom (Росатом) začal skúšobnú prevádzku jadrového paliva s malým obsahom aktinidov. Energetické systémy 4. generácie a uzavretý jadrový palivový cyklus (ЗЯТЦ) sú už za rohom.
20240717.jpg
Video https://vk.com/clip-37706009_456242029 dĺžka 1:32 min
Zdroj https://vk.com/wall-37706009_137073 z 17.07.2024
Z videa: Belojarska AES s "rýchlym" reaktorom BN-800, prvý krát použité palivové články s MOKS palivom (amerícium + neptúnium). Rusko je líder v prevádzke A-reaktorov 4. generácie

Alchymista
Redakční rada
Příspěvky: 54794
Registrován: 01 úno 2017, 08:58

Re: Atomová energie, jaderné elektrárny

Příspěvek od Alchymista » 17 črc 2024, 21:35

Použitie neptunia a americia v palive mi príde ako dosť neobvyklé... Povedal by som, že sú to produkty pomerne vzácne, vznikajúce vo vyhorenom palive skôr v miligramových ako v kilogramových množstvách (ako napríklad plutonium).
Niečo mi zjavne uniká alebo niečo neviem...

Viem si ale predstaviť, že Np a Am slúžia ako simulačné materiály na simuláciu chovania napríklad plutonia. Plutonium hojne vzniká z uránu 238U, takže je obtiažne sledovať jeho chovanie, pretože sa nedá dobre rozlíšiť 239Pu "pôvodné" pridané v palive MOX a "nové" vzniknuté z uránu v reaktore.
COVID-19 nie je choroba, COVID-19 je globálny test inteligencie jedincov, spoločenstiev, národov a štátov.
Dinosauri sa venovali výhradne problémom vlastného rastu.

nevadiii
Samostatný redaktor
Příspěvky: 1296
Registrován: 01 dub 2017, 19:20

Re: Atomová energie, jaderné elektrárny

Příspěvek od nevadiii » 17 črc 2024, 22:04

s malým obsahom aktinidov
Ten oziareny pes bude zakopaný v tejto hadanke. Predpokladám, že sa ten malý obsah bude vzťahovať na aktinoidy mimo pu a u.

Alchymista
Redakční rada
Příspěvky: 54794
Registrován: 01 úno 2017, 08:58

Re: Atomová energie, jaderné elektrárny

Příspěvek od Alchymista » 17 črc 2024, 23:56

nie, ten pracovník nehovorí o malom množstve, ale o menšinových aktinoidoch, tj takých, čo v rektoroch vznikajú v "malých" množstvách oproti iným - napríklad plutoniu, izotopom uránu

Rusi majú palivo MOX s plutoniom zvládnuté už dávno, takže palivo s inými aktinoidmi musí mať nejaký zmysluplný dôvod - a nechce sa mi veriť, že by to bola "fyzikálna likvidácia" týchto transuránov, proste neverím, že by ich mali vyprodukovaných také množstvo, aby sa ich museli takto zbavovať.
Aj keď...
Ak chcú dosiahnuť úplné uzavretie palivového cyklu, je možné, že im nakoniec ako odpad zostáva také množstvo izotopov neptúnia a amerícia, že fakt musia riešiť problém "kam s tým" prakticky pre všetky aktinoidy minimálne po currium, možno až po mendelevium.

takže teraz by mali mať vyriešné MOX U + Pu a riešia MOX U + Pu + Np + Am, následne asi vyriešia pridanie Pa + Cm, thorium Th usilovne riešia indovia vo svojom thoriovom reaktore, možno spolu s aktiniom Ac. Čo s berkeliom a californiom - neviem, ale možno majú nejaké použitie alebo je ich tak málo, že sa dajú namiešať do MOX spolu s curriom, neptuniom a americiom. Proste jeden osobitný prútik v osobitnej palivovej kazete...
Ešte vyššie aktinoidy - ensteinium, fermium, mendelevium, nobelium a lawrencium sa zrejme rodia tak vzácne a žijú tak krátko (ensteinium rok a pol, fermium sto dní, mendelevium mesiac, nobelium tri a pol minúty, lavrencium tri a pol hodiny), že spoľahlivo vymrú ešte v skladovom bazéne vedľa reaktora a riešiť ich netreba.
COVID-19 nie je choroba, COVID-19 je globálny test inteligencie jedincov, spoločenstiev, národov a štátov.
Dinosauri sa venovali výhradne problémom vlastného rastu.

vytrezvitel
Redaktor
Příspěvky: 66
Registrován: 22 srp 2022, 19:53

Re: Atomová energie, jaderné elektrárny

Příspěvek od vytrezvitel » 21 črc 2024, 13:21

Alchymista píše:
17 črc 2024, 23:56
Viděl bych to na zjednodušení separačního procesu přípravy MOX paliva. Nemusí čistit Pu od příměsí aktinoidů. Další možnost, že účinné průřezy a reakční kanály přidaných izotopů mohou mít pozitivní dopad na využitelnost paliva během kampaně. Něco jako přidávání Gd to paliva pro VVER.

Alchymista
Redakční rada
Příspěvky: 54794
Registrován: 01 úno 2017, 08:58

Re: Atomová energie, jaderné elektrárny

Příspěvek od Alchymista » 21 črc 2024, 16:21

IMHO obe možnosti majú logiku...
Nemám až tak presný prehľad o chemickom čistení vyhoreného paliva, ale ponechanie "menšinových" aktinoidov v plutoniu mi pripadá takmer ekvivalentné ponechaniu zvyškov plutonia v prepracovanom uráne... To by naznačovalo, že rusi v dlhšej perspektíve smerujú k tomu, že v palivovom cykle, alebo jeho určitej časti/vetve prestanú používať izotopové čistenie a nové palivo typu MOX (alebo dokonca metalnitridy, na ktorých tiež pracujú) budú pripravovať zo zmesy aktinoidov (Pa-U-Np-Pu-Am). Nemusí to byť zrovna na "prasáka", ale už to, že budú vedieť, že nejaké stotiny percenta "nevadia", ohromne zjednoduší, zlacní a zrýchli celý proces spracovania vyhoreného a recyklovaného paliva. Vrátane doby pobytu paliva v bazénoch.

Na úvahu nad účinnými prierezmi nemá vedomosti...
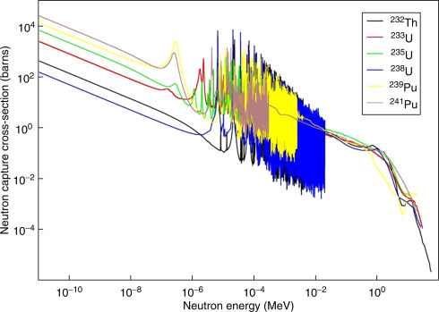
niečo by mohlo byť napríklad tu: https://www.researchgate.net/publicatio ... n_Data#pf4
ale chýba mi tam oblasť energií pod 5MeV, teda aj oblasť tepelných neutronov - alebo to proste v tých grafoch "nevidím"
100000030.jpg
237Np
100000030.jpg (59.15 KiB) Zobrazeno 9549 x
200000031.jpg
243Am
Pre pochopenie úlohy gadolinia v jadrovom palive: gadolinium má veľký účinný prierez pre tepelné neutrony, desiatky až tisíce barnov, takže intenzívne pohlcuje tepelné neutrony. Tým spomaluje reakcie, pretože pohltené neutrony chýbajú v reťazovej reakci.
To umožňuje, aby sa do reaktoru vložilo palivo s vyšším obsahom štiepiteľného uránu - napríklad s obsahom až 4-5% 235U oproti "normálnemu" obsahu 3-3,5% 235U. Vyššie obohatené palivo by produkovalo viac neutronov a energie a "horelo" by príliš rýchlo a príliš intenzívne. Po nejakom čase sa gadolinium pohlcovaním neutronov premení na iné izotopy a "vyhorí", jeho účinok sa zníži - lenže medzitým vyhorí aj časť uránu 235U a jeho obsah poklesne na obvyklých 3-3,5% a palivo ďalej funguje ako normálne palivo. Efektom ale je, že doba do výmeny vyhoreného paliva sa vďaka gadolíniu predĺži, čož znamená efektívnejšiu prevádzku.

Pre pochopenie - rozhranie medzi "tepelnými" a "rýchlymi" neutronmi leží v oblasti 0,01 a 0,1 MeV
Grafy účinných prierezov pre štiepenie jadra
400000134.png
Grafy účinných prierezov pre záchyt neutronu v štiepiteľných jadrách
410001656.jpg
410001656.jpg (70.31 KiB) Zobrazeno 9526 x
Grafy účinných prierezov pre záchyt neutronu v "neštiepiteľných" jadrách
410001661.png
COVID-19 nie je choroba, COVID-19 je globálny test inteligencie jedincov, spoločenstiev, národov a štátov.
Dinosauri sa venovali výhradne problémom vlastného rastu.

Alchymista
Redakční rada
Příspěvky: 54794
Registrován: 01 úno 2017, 08:58

Re: Atomová energie, jaderné elektrárny

Příspěvek od Alchymista » 21 črc 2024, 21:35

Ešte ku gadoliniu:
- ako sa mení pri záchytoch tepelných neutronov
(4013)a.jpg
- závislosť účinných prierezov a energie tepelných neutronov pre izotopy gadolínia
(4013)b.jpg
Hlavné izotopy gadolínia (https://en.wikipedia.org/wiki/Isotopes_of_gadolinium)
polčas rozpadu 152Gd (1,08× E14 rokov) je zhruba 7800x dlhší ako doterajší vek vesmíru (~1,377× E10 rokov)
(4014).jpg
COVID-19 nie je choroba, COVID-19 je globálny test inteligencie jedincov, spoločenstiev, národov a štátov.
Dinosauri sa venovali výhradne problémom vlastného rastu.

kenavf
Sponzor fóra
Příspěvky: 12595
Registrován: 07 úno 2017, 19:59

Re: Atomová energie, jaderné elektrárny

Příspěvek od kenavf » 23 črc 2024, 23:25

Slovensko bude mať nového dodávateľa jadrového paliva: Slovenské elektrárne už podpísali zmluvu!
https://openiazoch.zoznam.sk/energetika ... ho-paliva/
"Mravní bída je příčina, hospodářský úpadek je následek".-T.Baťa.
"Jediné čo potrebujú nečisté síly k svojmu víťazstvu je to, aby slušní ľudia neurobili nič." -Edmund Burke.

Uživatelský avatar
skflanker_
Sponzor fóra
Příspěvky: 11330
Registrován: 07 úno 2017, 20:22

Re: Atomová energie, jaderné elektrárny

Příspěvek od skflanker_ » 30 črc 2024, 21:05

Rosatom (Росатом) je pripravený zaviesť novú službu, ktorá je jedinečná pre svetový jadrový priemysel - recykláciu vyhoreného jadrového paliva. O naj tajnejších podnikoch ruského jadrového priemyslu a technológiách - viď špeciálna reportáž Natálie Solovievovej.
20240730.jpg
Video https://vk.com/video-37706009_456242055 dĺžka 14:22 min.
Zdroj https://vk.com/wall-37706009_137504 z 29.07.2024

Odpovědět